Notice
Recent Posts
Recent Comments
Link
.Zzumbong
[leetCode/JS] 124. Binary Tree Maximum Path Sum 본문
난이도 [ 👿 ] Hard
문제 설명
A path in a binary tree is a sequence of nodes where each pair of adjacent nodes in the sequence has an edge connecting them. A node can only appear in the sequence at most once. Note that the path does not need to pass through the root.
The path sum of a path is the sum of the node's values in the path.
Given the root of a binary tree, return the maximum path sum of any non-empty path.
이진 트리의 연속된 경로중에 최대 합산을 반환하면 된다. 루트를 통과할 필요가 없다.
입출력 예
Example 1:

Input: root = [1,2,3]
Output: 6
Explanation: The optimal path is 2 -> 1 -> 3 with a path sum of 2 + 1 + 3 = 6.
Example 2:

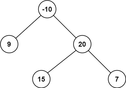
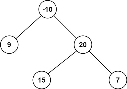
Input: root = [-10,9,20,null,null,15,7]
Output: 42
Explanation: The optimal path is 15 -> 20 -> 7 with a path sum of 15 + 20 + 7 = 42.
Constraints
- The number of nodes in the tree is in the range
[1, 3 * 104]. -1000 <= Node.val <= 1000
내 솔루션
- DFS로 서치한다. 현재 경로의 합계를 저장해 둔다.
- dfs()의 return은 left, right 노드중 가장 큰 값을 리턴한다.

- return을 0, node.val+left, node.val+right를 하는 이유는 경로의 문제기 때문이다.
- 0을 비교하는 것은 합계가 마이너스가 나오기도해서 하위 노드 경로를 버릴 수 있기 때문이다.
var maxPathSum = function(root) {
let max = -Infinity;
const dfs = (node) => {
if(!node) return 0;
const left = dfs(node.left);
const right = dfs(node.right);
max = Math.max(max, node.val + left + right)
return Math.max(0, node.val + left, node.val + right);
}
dfs(root);
return max;
};
감상평

- 몇일전 풀었던 1026번 문제와 정말 비슷했다.
- 12월은 DFS문제만 쏟아지는 중
'coding test > leetCode' 카테고리의 다른 글
| [leetCode/JS] 931. Minimum Falling Path Sum (1) | 2022.12.13 |
|---|---|
| [leetCode/JS] 70. Climbing Stairs (1) | 2022.12.12 |
| [leetCode/JS] 1339. Maximum Product of Splitted Binary Tree (0) | 2022.12.10 |
| [leetCode/JS] 1026. Maximum Difference Between Node and Ancestor (1) | 2022.12.09 |
| [leetCode/JS] 872. Leaf-Similar Trees (0) | 2022.12.08 |
Comments